Bước sang quý 2/2026, thị trường bất động sản khu Đông và Dĩ An đang chứng kiến một sự dịch chuyển kỳ lạ: Dòng tiền không còn đổ xô vào các dự án trên giấy mà tập trung toàn lực vào các sản phẩm nhà phố đã hoàn thiện, có pháp lý sổ hồng riêng như Bcons Uni Valley.
Với tư cách là đơn vị phân phối chiến lược, Kiên Nam Land nhận thấy một thực tế: Nhiều gia đình trẻ vẫn đang miệt mài chi trả từ 25 – 35 triệu đồng mỗi tháng để thuê nhà tại khu vực Dĩ An – Thủ Đức mà không hề hay biết rằng, với chính số tiền đó, họ hoàn toàn có thể làm chủ một căn nhà phố 1 trệt 2 lầu ngay mặt tiền đường Thống Nhất.
Tại sao chúng tôi khẳng định mua nhà Bcons Uni Valley lúc này là quyết định tài chính sáng suốt hơn đi thuê? Hãy cùng chuyên gia phân tích bài toán thực tế của tháng 4/2026.
Bài toán thuê nhà hay mua trả góp?
Hãy nhìn vào thực tế thị trường cho thuê tại khu vực Làng Đại học và trục đường Thống Nhất năm 2026. Với sự vận hành của Tuyến Metro số 1 và sự bùng nổ của giới chuyên gia tại các KCN lân cận, giá thuê nhà phố đang leo thang chóng mặt.
- Chi phí đi thuê: Một căn nhà phố tương đương Bcons Uni Valley hiện có giá thuê từ 30 triệu đồng/tháng. Sau 5 năm, anh/chị sẽ mất trắng 1.8 tỷ đồng mà không sở hữu bất kỳ mét vuông đất nào. Chưa kể, giá thuê thường tăng ít nhất 5-10% sau mỗi chu kỳ ký lại hợp đồng.
- Chi phí mua trả góp: Với chính sách hỗ trợ từ các ngân hàng đối tác của Tập đoàn Bcons trong tháng 4 này, anh/chị chỉ cần thanh toán phần vốn tự có ban đầu, phần còn lại trả góp hàng tháng.
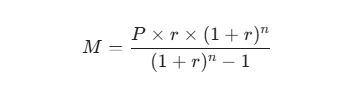
Phép tính tài chính từ Vietory:
Giả sử anh/chị mua một căn nhà phố Bcons Uni Valley trị giá 10 tỷ đồng. Chị vay ngân hàng 7 tỷ đồng (70%) trong 20 năm, lãi suất ưu đãi năm 2026 khoảng 8.5%/năm.
Số tiền trả hàng tháng (M) được tính theo công thức:
Trong đó:
- P (Vốn vay): 7.000.000.000 VNĐ.
- r (Lãi suất tháng): 0,085 / 12 ~ 0,00708.
- n (Số tháng vay): 240 tháng.
Kết quả: Số tiền trả gốc và lãi hàng tháng khoảng 60 triệu đồng.
Nhìn lại: Nếu anh/chị đang thuê nhà 30 triệu, chị chỉ cần bù thêm 30 triệu nữa mỗi tháng để chuyển từ trạng thái đi thuê sang sở hữu. Đặc biệt, sau mỗi năm, giá trị căn nhà lại tăng trưởng bền vững, trong khi khoản nợ gốc ngày càng giảm dần.
Bài toán về hạ tầng với trục đường Thống Nhất 32m
Nhiều khách hàng thường đợi khi nào hạ tầng xong hẳn mới mua. Nhưng sự thật trong bất động sản là: Khi hạ tầng xong hẳn, giá đã thuộc về người khác.
Tháng 4/2026, trục đường Thống Nhất lộ giới 32m đã hoàn thiện toàn diện, trở thành đại lộ đẹp nhất kết nối Dĩ An và TP. Thủ Đức.
- Tuyến Metro số 1: Đã vận hành ổn định, biến việc đi làm tại trung tâm Sài Gòn trở nên dễ dàng như đi dạo.
- Vành đai 3: Những đoạn khớp nối quan trọng quanh khu vực Dĩ An đang về đích.
- Cú hích bảng giá đất 2027: Đây là yếu tố quan trọng nhất. Theo Luật Đất đai mới, bảng giá đất sẽ được cập nhật sát giá thị trường vào năm sau. Việc chốt mua Bcons Uni Valley trong tháng 4/2026 giúp anh/chị tránh được đợt tăng thuế phí và giá đất chắc chắn sẽ bùng nổ vào đầu năm 2027.
Pháp lý của dự án
Trong năm 2026, mua nhà không chỉ là mua vị trí, mà là mua sự an tâm pháp lý. Kiến Nam Law khẳng định Bcons Uni Valley là dự án “sạch” tiêu biểu trong khu vực:
- Sổ hồng riêng từng căn: Không còn là những lời hứa hẹn, dự án đã có sổ hồng. Khách hàng mua là có thể sang tên ngay lập tức.
- Mã định danh bất động sản: Mỗi căn nhà phố tại đây đều được tích hợp mã định danh số trên hệ thống VNeID. Điều này giúp khách hàng quản lý tài sản minh bạch, dễ dàng kiểm tra quy hoạch và thực hiện các giao dịch thế chấp, chuyển nhượng thần tốc.
- Giá trị truyền đời: Khác với căn hộ chung cư có thời hạn, nhà phố liền thổ tại Bcons Uni Valley là tài sản sở hữu lâu dài, là của để dành có giá trị gia tăng theo cấp số nhân cho con cái sau này.
Tại sao lại chọn Bcons Uni Valley thay vì Thủ Đức?
Tại Thủ Đức (Quận 9, Quận 2 cũ): Với 10 tỷ đồng trong tay tại lõi Thủ Đức năm 2026, khách hàng thường rơi vào hai kịch bản “bí bách”: Hoặc là sở hữu một căn hộ 3 phòng ngủ cao cấp (tài sản có thời hạn và phí quản lý cao), hoặc là một căn nhà phố cũ nằm sâu trong hẻm nhỏ, xe hơi khó ra vào. Tại đây, anh/chị đang trả tiền cho cái tên “Thủ Đức” – một thị trường đã đạt đỉnh về giá, khiến dư địa tăng trưởng trở nên cực kỳ hạn hẹp.
Tại Bcons Uni Valley: Cũng với 10 tỷ đó, khi bước qua ranh giới “địa lý” chỉ vài trăm mét để đến với Bcons Uni Valley, vị thế của khách hàng thay đổi hoàn toàn. Anh/chị không chỉ mua một nơi ở mà đang sở hữu một Bất động sản mặt tiền đại lộ 32m.
- Kiến trúc đẳng cấp: Nhà phố 1 trệt 2 lầu 1 tum với tổng diện tích sử dụng vượt trội, đủ không gian cho cả gia đình đa thế hệ và một văn phòng đại diện ngay tầng trệt.
- Tâm điểm tri thức: Vị trí sát cạnh Làng Đại học Quốc gia giúp chị sở hữu tệp khách hàng tiềm năng là hàng ngàn giảng viên, chuyên gia. Đây là giá trị cộng đồng mà các căn nhà trong hẻm tại Thủ Đức không bao giờ có được.
Bảo chứng lợi nhuận từ Vietory: Theo thẩm định độc lập từ Vietory, biên độ lợi nhuận của nhà phố Dĩ An (đặc biệt là khu vực giáp ranh Thủ Đức) luôn duy trì mức cao hơn từ 5-7% so với nhà phố nội đô TP.HCM.
- Lý do: Trong khi Thủ Đức đã hoàn thiện hạ tầng từ lâu, thì Dĩ An đang ở giai đoạn bung mạnh mẽ nhất với đường Thống Nhất và các nhánh nối Metro số 1. Trong bất động sản, lợi nhuận lớn nhất luôn nằm ở nơi hạ tầng đang từ tiềm năng chuyển sang vận hành.
Lời khuyên từ KNL: Đừng để cái mác hộ khẩu Sài Gòn đánh lừa thị giác. Thông thái là khi anh/chị sở hữu một tài sản mặt tiền đại lộ, sinh lời ngay lập tức và có pháp lý định danh an toàn, thay vì một căn hộ chung cư đang dần khấu hao theo thời gian.
Đừng để đến cuối năm 2026 mới quyết định, vì lúc đó quỹ đất mặt tiền đường Thống Nhất có lẽ đã không còn sản phẩm trực tiếp từ chủ đầu tư.
Kiên Nam Land đồng hành cùng khách hàng qua 3 bước:
- Thẩm định giá thực thực (Vietory): Chúng tôi cung cấp bảng so sánh giá các dự án lân cận để khách hàng thấy rõ Bcons Uni Valley đang ở vùng trũng của giá bán.
- Soát xét pháp lý (Kiến Nam Law): Hỗ trợ kiểm tra mã định danh, quy hoạch và hướng dẫn thủ tục vay vốn ngân hàng tối ưu nhất.
- Quản lý sau bán hàng (KNL Management): Dù anh/chị mua để ở, chúng tôi vẫn hỗ trợ định giá lại tài sản hàng năm để anh/chị thấy được sự tăng trưởng của dòng vốn.
Bcons Uni Valley không dành cho những người thích chờ đợi. Dự án này dành cho những nhà đầu tư và những gia đình trẻ quyết đoán, những người hiểu rằng “Sở hữu hôm nay là bảo hiểm cho tương lai”.
Năm 2026 là năm của những giá trị thực. Đừng tiếp tục trả tiền thuê nhà cho người khác, hãy dùng số tiền đó để xây dựng đế chế của chính mình tại trung tâm tri thức Dĩ An.
Hotline chốt căn: 093 586 86 69
Website: www.kiennamland.vn
Trụ sở: T8-33 Vinhomes Grand Park, TP. Thủ Đức, TP.HCM.




